DFS(Depth-First Search) : 깊이 우선 탐색
그래프에서 깊은 부분을 우선적으로 탐색하는 알고리즘. 스택 자료구조 혹은 재귀 함수를 이용한다.

✔︎ 동작과정
- 탐색 시작 노드를 스택에 삽입하고 방문 처리한다.
- 스택의 최상단 노드에 방문하지 않은 인접한 노드가 하나라도 있으면 그 노드를 스택에 넣고 방문처리를 한다. 방문하지 않은 인접 노드가 없으면 스택에서 최상단 노드를 꺼낸다.
- 더 이상 2번의 과정을 수행할 수 없을 때까지 수행한다.
✔︎ 깊이 제한 : 탐색 과정이 시작 노드에서 한없이 깊이 진행되는 것을 막기 위함이다. 깊이 제한에 도달할 때까지 목표 노드가 발견되지 않으면 최근에 첨가된 노드의 부모노드로 되돌아와서, 부모노드 이전과는 다른 동작자를 적용하여 새로운 자식노드를 생성한다.
✔︎ 백트래킹 : 부모노드로 되돌아오는 과정을 말한다.
장단점 )
장점
- 단지 현 경로상의 노드들만을 기억하면 되므로 저장공간의 수요가 비교적 적다
- 목표노드가 깊은 단계에 있을 경우 해를 빨리 구할 수 있다.
단점
- 해가 없는 경로에 깊이 빠질 가능성이 있다. (따라서 깊이 제한 이용해야 한다.)
- 얻어진 해가 최단 경로가 된다는 보장이 없다.
코드 예제 )

def dfs(graph, v, visited):
# 현재 노드를 방문 처리
visited[v] = True
print(v, end=' ')
# 현재 노드와 연결된 다른 노드를 재귀적으로 방문
# 가장 마지막에 불러온 함수가 젤 먼저 처리된다.
for i in graph[v]:
if not visited[i]:
dfs(graph, i, visited)
# 각 노드가 연결된 정보 표현
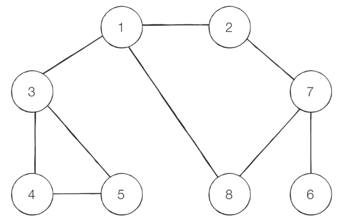
graph = [
[], # 1부터 시작이기 때문에 이거 무시되게
[2, 3, 8],
[1, 7],
[1, 4, 5],
[3, 5],
[3, 4],
[7],
[2, 6, 8],
[1, 7]
]
# 각 노드가 방문된 정보를 표현
visited = [False] * 9
# 정의된 DFS 함수 호출
dfs(graph, 1, visited)
➡︎ 1 2 7 6 8 3 4 5
BFS(Breadth-First Search) : 너비 우선 탐색
그래프에서 가까운 노드부터 우선적으로 탐색하는 알고리즘. queue 자료구조를 이용한다.

✔︎ 동작 과정
- 탐색 시작 노드를 큐에 삽입하고 방문 처리한다.
- 큐에서 노드를 꺼낸 뒤에 해당 노드의 인접 노드 중에서 방문하지 않은 노드를 모두 큐에 삽입하고 방문 처리를 한다.
- 2번 과정 수행할 수 없을 때까지 반복한다.
장단점 )
장점
- 출발 노드에서 목표 노드까지의 최단 길이 경로를 보장한다.
단점
- 경로가 매우 길 경우에는 탐색 가지가 급격히 증가함에 따라 보다 많은 기억 공간을 필요로 하게 된다.
- 해가 존재하지 않는다면 유한 그래프(finite graph)의 경우에는 모든 그래프를 탐색한 후에 실패로 끝난다.
- 무한 그래프(infinite graph)의 경우에는 결코 해를 찾지도 못하고, 끝내지도 못한다.
코드 예제 )

from collections import deque
# BFS 메서드 정의
def bfs(graph, start, visited):
# 큐 구현을 위해 deque 라이브러리 사용
queue = deque([start])
# 현재 노드를 방문 처리
visited[start] = True
# 큐가 빌 때까지 반복
while queue:
# 큐에서 하나의 원소를 뽑아 출력하기
v = queue.popleft()
print(v, end=' ')
# 아직 방문하지 않은 인접한 원소들을 큐에 삽입
for i in graph[v]:
if not visited[i]:
queue.append(i)
visited[i] = True
# 각 노드가 연결된 정보 표현
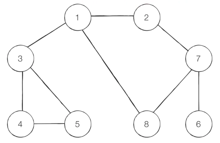
graph = [
[], # 1부터 시작이기 때문에 이거 무시되게
[2, 3, 8],
[1, 7],
[1, 4, 5],
[3, 5],
[3, 4],
[7],
[2, 6, 8],
[1, 7]
]
# 각 노드가 방문된 정보를 표현
visited = [False] * 9
# 정의된 DFS 함수 호출
bfs(graph, 1, visited)
➡︎ 1 2 3 8 7 4 5 6
참조
https://www.youtube.com/watch?v=7C9RgOcvkvo
https://ko.wikipedia.org/wiki/너비_우선_탐색
https://ko.wikipedia.org/wiki/깊이_우선_탐색
'Algorithm > 개념' 카테고리의 다른 글
| 비트마스크 (Bit Mask) (0) | 2021.12.30 |
|---|---|
| Dijkstra 알고리즘 (0) | 2021.11.03 |
| Union-Find 알고리즘, KRUSKAL 알고리즘 (0) | 2021.10.31 |
| Dynamic Progamming (동적 계획법, DP) (0) | 2021.09.13 |
| 에라토스테네스의 체(Eratosthenes' sieve ) (0) | 2021.06.18 |